serosv is an easy-to-use and efficient tool to estimate
infectious diseases parameters (seroprevalence and force of infection)
using serological data. The current version is based on the book
“Modeling Infectious Disease Parameters Based on Serological and Social
Contact Data – A Modern Statistical Perspective” by Hens et
al., 2012 Springer.
You can install the development version of serosv with:
# install.packages("devtools")
devtools::install_github("OUCRU-Modelling/serosv")serosv contains 15 built-in serological datasets as
provided by Hens et
al., 2012 Springer. Simply call the name to load a dataset, for
example:
rubella <- rubella_uk_1986_1987The following methods are available to estimate seroprevalence and force of infection.
Parametric approaches:
Nonparametric approaches:
Semiparametric approaches:
Penalized splines:
Penalized likelihood framework
Generalized Linear Mixed Model framework
Hierarchical Bayesian approaches:
Hierarchical Farrington model
Hierarchical log-logistic model
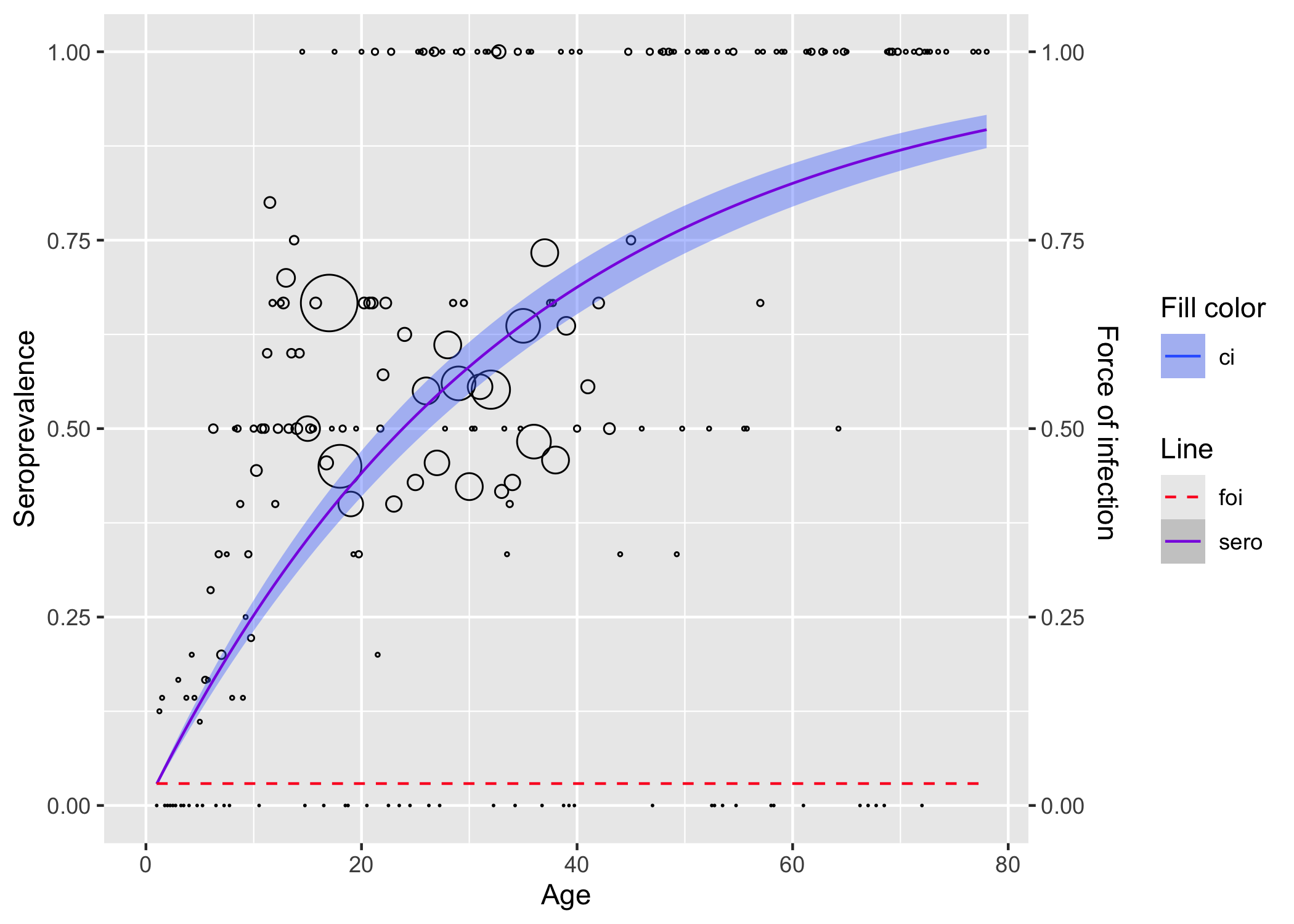
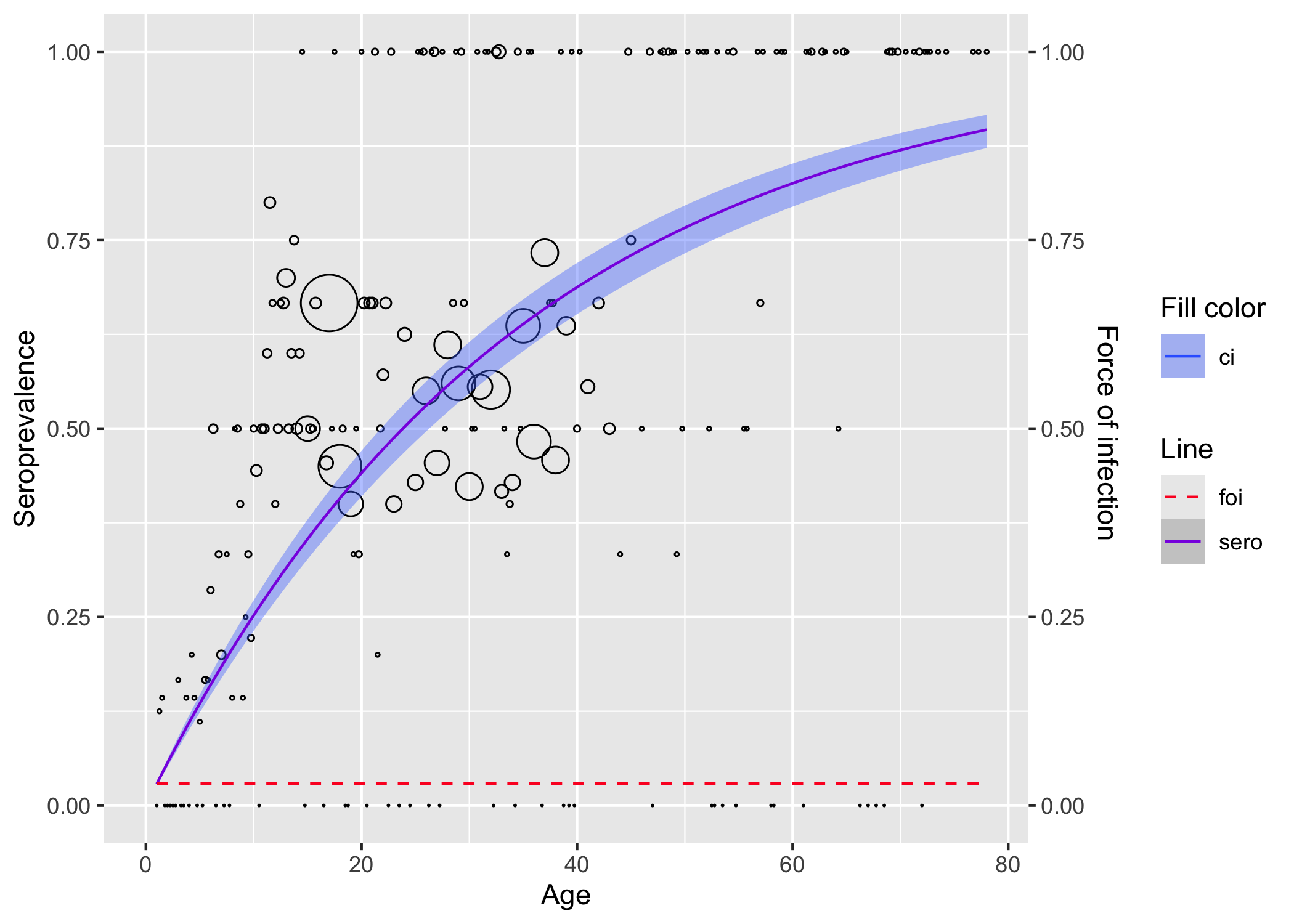
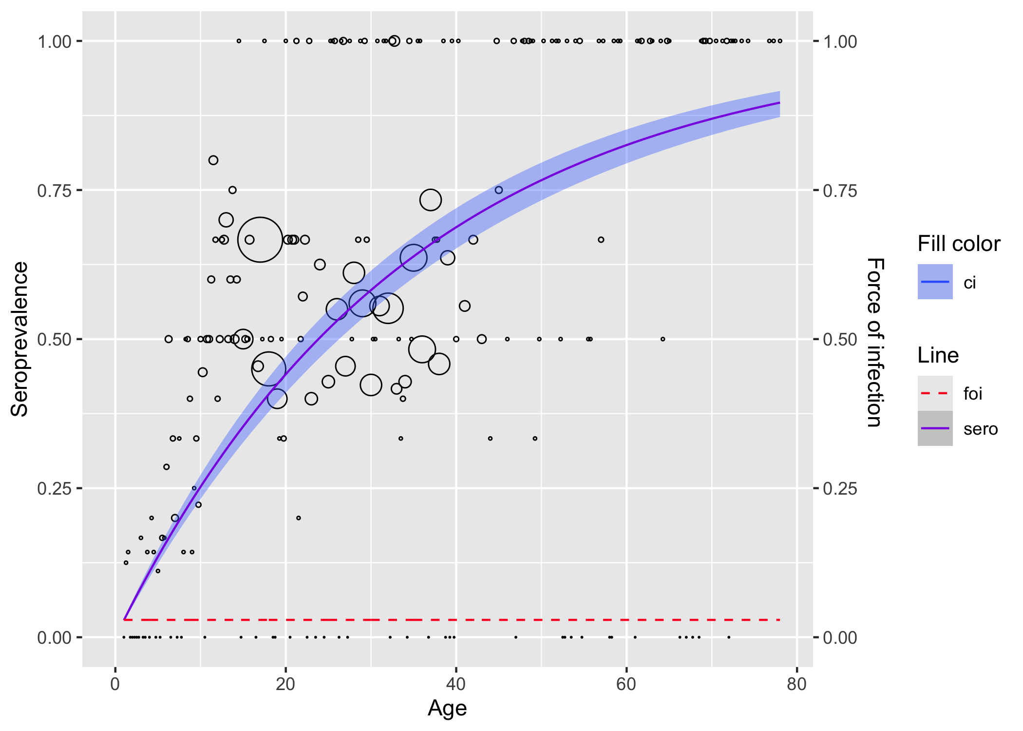
Load the rubella in UK dataset.
library(serosv)Find the power for the best second degree fractional polynomial with monotonicity constraint and a logit link function. The power appears to be (-0.9,-0.9).
rubella <- rubella_uk_1986_1987
best_2d_mn <- find_best_fp_powers(
rubella,
p=seq(-2,3,0.1), mc = T, degree=2, link="logit"
)
best_2d_mn
#> $p
#> [1] -0.9 -0.9
#>
#> $deviance
#> [1] 37.57966
#>
#> $model
#>
#> Call: glm(formula = as.formula(formulate(p_cur)), family = binomial(link = link))
#>
#> Coefficients:
#> (Intercept) I(age^-0.9) I(I(age^-0.9) * log(age))
#> 4.342 -4.696 -9.845
#>
#> Degrees of Freedom: 43 Total (i.e. Null); 41 Residual
#> Null Deviance: 1369
#> Residual Deviance: 37.58 AIC: 210.1Finally, fit the second degree fractional polynomial.
fpmd <- fp_model(
rubella,
p=c(-0.9, -0.9), link="logit")
plot(fpmd)
parvob19 <- parvob19_fi_1997_1998
# for linelisting data, either transform it to aggregated
transform_data(
parvob19$age,
parvob19$seropositive,
heterogeneity_col = "age") %>%
polynomial_model(type = "Muench") %>%
plot()
# or fit data as is
parvob19 %>%
rename(status = seropositive) %>%
polynomial_model(type = "Muench") %>%
plot()